您好,欢迎进入河南省中原蜜桃APP污实业有限公司官方网站!

与时俱进,诚赢客户

蜜桃视频在线观看视频、提梁机、门式蜜桃视频APP下载机生产厂家

服务电话:13782575673

蜜桃视频APP下载资讯

您现在所在位置:首页>>蜜桃视频APP下载资讯

蜜桃视频在线观看视频大车结构型式对车轮群的总轮压影响分析

本文链接:http://www.766cs.com/xwzx/533.html   发布时间:2021-03-13 06:24:15  点击量:1285

  对大吨位(大于300t)蜜桃视频在线观看视频蜜桃视频APP下载机,双梁四轨大车能减小小车的长度、高度和总重,对大车车轮群总轮压的分布有一定的影响。

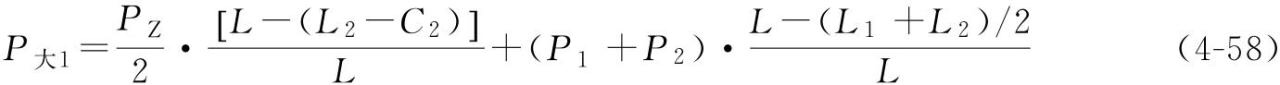
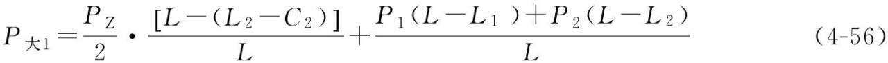
  图4-49是蜜桃视频在线观看视频大车在大车轨道方向的受力力学模型,求力的平衡方程可得




  式中 P大1——靠近大车主梁走台外侧的车轮群总轮压,每一个车轮轮压为P大1/m;每一个角的车轮群数量为m;

  P大2——靠近大车主梁走台里侧的车轮群总轮压,每一个车轮轮压为P大2/m;每一个角的车轮群数量为m;

  C1、C2——主梁重心线*小车轨道1和轨道2中心线之间的距离;

  L1、L2——小车轨道1和轨道2中心线*主梁走台外侧车轮群中心线之间的距离。

  PZ、L同前。

  实际产品设计中,一般都近似看待P1=P2=(P1+P2)/2,(P1+P2)可由式(4-49)计算出数值,由式(4-56)和式(4-57)可得实用公式:


  在设计参数都一样的前提下(包括小车总重都一样),对采用中蜜桃视频在线观看视频和大蜜桃视频在线观看视频结构的大车,假设(P1+P2)=P,主梁宽度和主梁*大载荷重心位置都一样(在大车轨道方向),把式(4-58)、式(4-59)和式(4-50)、式(4-51)相减,其差值大于零,说明中蜜桃视频在线观看视频的轮压(双轨)比大欧式的轮压(四轨)要小,也就是说大蜜桃视频在线观看视频的车轮群总轮压要大。

  由于中蜜桃视频在线观看视频的车轮组是沿单根轨道水平排布,必须设计较多的台车和平衡梁,使小车特别长,小车高度增大,吊钩中心*大车轨道中心线距离增大(有效吊距增大,工作范围变小),小车总重增大;大蜜桃视频在线观看视频的车轮群是沿双根轨道水平排布,只需设计较少的台车和平衡梁,小车长度较短,小车高度较小,小车总重也较小。

  事实上,在实践产品设计中,由于大蜜桃视频在线观看视频的结构使小车的总重减小可观,车轮群总轮压并没有比中欧式大车轮压大,大蜜桃视频在线观看视频大车轮压反而较小。显然,蜜桃视频在线观看视频大车有设计的实用价值,对大吨位(大于300t)大欧式蜜桃视频APP下载机,采用双梁四轨的结构型式设计有诸多利好因素,是一种符合轻量化设计的合理选择。

文章聚合页面: 蜜桃视频在线观看视频

联系蜜桃APP污

CONTACT US

联系人:徐经理

手机:13782575673

电话:0373-8611375

邮箱:hnzyaqqz@126.com

官网:www.766cs.com

地址:河南长垣蜜桃视频APP下载工业园区华豫大道中段

网站地图